}CN X^[ º 149365-Cn x - vagus
Answer If x is a binomial random variable, compute p(x) for each of the cases below Solution a) n = 4 p = 06 X ~ Binomial (4, 06) Using binomial view the full answerS Ê v #Ø s*ñ Z x M 8# C Y C ~ Ñ µ £'z0 _ ¥ E S *ñ b w E% Z >1>/>5 h Ç >1>5>One billion more people benefiting from One billion more people better protected from One billion more people enjoying better U N I V E R S A L H EALTH
Aggregate Best Response Curve Of Group C Download Scientific Diagram
Cn x - vagus
Cn x - vagus-` ¶ = Ë Ä !The Kawasaki C2 (previously XC2 and CX) is a midsize, twinturbofan engine, long range, high speed military transport aircraft developed and manufactured by Kawasaki Aerospace CompanyIn June 16, the C2 formally entered service with the Japan Air SelfDefense Force (JASDF) There are ongoing efforts to sell it overseas to countries such as New Zealand and the United Arab



Conversion Of N Butane At 350 º C And Whsv 2 5 H 1 On Hz 18 Ga Download Scientific Diagram
_ H4 )!8ª 8 r M r 9(ì>/ 0° ° V b$ ¦8o>& ¡ Ý g ' l g i8 f >' í Ð ¡ ß _ 7 0£ / S u È µ ¡ 1¤ K Z 8 r M ¥ Ó å º _ 8 ° 8 S T A 4 b3ã í P7V c/ N ¦ X, ´ Ó â M M S O ý!C >IC GGC N C í l WW RUG Q X Z ¸ « º e 8 X C Ê C, / b >,ý Kõ q 3Æ c >* " 1 x Ð b ` ¸ « º #Ý b e 8 8 B ¯ Ç º x &' b X Û e 8 7 @ ^ >* á î É ß x ¥ å Æ × î ± ¸ « º e 8 X C ~ x M 8 # C @ Z W Z A Z >, / Æ v á î É ß e 8 8
U N Ñ ô#ã#ë $Î } k x ´#ë í À Ì& Ñ ô#ã#ë Ç#ã > ß î ¯ å !S(ì C N t C N u)Ä)T C N v ¦ Ò C N w5 C N x Û « C N í ¥ å ¡ Ü î º C N l g7a&" þ C N y @ A8® >& è V>6'8®>' ¹ B º v ¥> ç ô º v ¥ ¹ B º v ¥> ç ô º v ¥ ¹ B º v ¥> ç ô º v ¥ ¹ B º v ¥> ç ô º v ¥ ¹ B º v ¥> ç ô º3Ä d d _ c¸ n 4 d _º t g n g X _º ÊÖ 8 _º j t S ½ S n ºÃ¸ l _ D _ r _º ½ c 0ß ` _º L {Ö ÌÖ 8 c Å g y Ö¶ ØÂ < W {º Ê 8 h _º
A combination takes the number of ways to make an ordered list of n elements (n!), shortens the list to exactly x elements ( by dividing this number by (nx)!* j c N w E ° * _ M ² Z b ¦ d %¼ 3z °1* >& Má)0£>' %¼ 3z °1* & N 3z ° M ² Z b ¦ d >0>,1* 8o% b *O _ X 8 Z G b º b z ^1* ¦8o b *O c b \ > ~ M (1) #Õ#Ø>81* b P1ß ¦ d>& è W 1* P1ß \ 8 >' @ \ Æ 7 _#Õ#Ø>& w0¯#Õ#Ø µ t >' K S X5 8 8 r MÆÄ c r S ÁÄ d _º h 4 _ Â * K c wº p ` KÖ j c d ¸Ö j $ t X h b d ± ù t c n d L _º ½ X Tù < _º b t H h V ` L d _º



Electric Field Lines Multiple Charges Physics



Cy Keener And Justine Holzman Sea Ice 71 º N 156 º W Visarts
4 ú2 õ æ Y ý!,,º 5ptw Ñ ¸ ^ §#t df3 v,º ð n Í , ¸ ?a e,º 3 Çf9 0 § #t ?f9d ,º 3 Ç ^/ñ 60qoÏ ¸aæ Í ^0qoÏ gýlü8) g c 8Ã = )¿ ø ¸9 'Õ ¿"é#q Õ(~,ºf % Âk 5 Çf9 0 §#t d p Í f 62È ¢ ,º2ô Ô Ö » Ñ @ l ¸aæ Í?· ~ c^ ¸ c'l ^ d,º n Í c ,º » Ñ p ¾ g ¸ c u^!ö M ¦ '¨1 G Û j m A1"8 _ X 8 Z ² /$× ^#0 K M ¦ _ ö Y C Û q>&'¨ 'v>' / '¨2 G Û b4 u _ X 8 Z M ( \ 0b º n K#0 K



Educat P C Distribution Of Alike Objects



Divide Exponents With Like Bases 2 The Davidson Group
Tokyo University of Science NIIElectronic Library Service 7RN\R 8QLYHUVLW\ RI 6RLHQRH í î &K ¢; /!¹ Û S;More formally, the number of k element subsets (or k combinations) of an n element set This number can be), and then (by dividing by x!), it removes the number of duplicates Above, in detail, is the combinations and computation required to state for n = 4 trials, the number of times there are 0 heads, 1 head, 2 heads, 3 heads, and 4 heads



5 Let Xi X Be Iid N E 1 A Show That X Is A Complete Sufficient Statistic B Show Th Homeworklib



Text Displaying As Gibberish On Pdf Export Affinity On Desktop Questions Mac And Windows Affinity Forum
#1 Ê $¤)Ð >b!Ç >W q = 'D S 4 N >O >a ' ;ç ô>0 º>4 v ¥'Ç ç ô>0 º>6 v ¥ 5 ç ô>0 º>7 v ¥ 5 ç ô>1 º>1 v>7 ¥ 5 %4'g& É 3Æ æ e Û9 _ > E » Û å cº º º º º >p â >x « Î Ò Ý Ñ õ ø %> ´ õ G ¼ >t V >w ä Î z q ¼ î 2$ § ç y ½ I Î R ö Ã #1 Ê %m õ î º É § î = 'D S ñ Ñ ' ;



Multiplying Functions Video Functions Khan Academy



Answered Find X Mathbits 145 80 Of Bartleby
\ ^ v b b3Æ C _ c N N0¿*( K ^ 8 S T K G } b3Æ C _0¿*( M G \ @ ¤ £75 P 'Ç V ²0 ^ _ 6 W Z c !Þ < _ C 8(ò ¦>&7´!Þ ö Y!Þ ö 75!V0 ^ >' Q#Ý M r L(ò ¦ 6 d { Ú* \>0 Ó î º Ý è V b6ë7x X G \ @ r K 8>& 8 z< È Á I p Ï ¿ $ Uº#Õ Õ15 7 Vol8(05 ³8 n) p Õ c & ^ ñ X B9) K3ø"8 a º'½スゝ Ð P a(¥ Ð ¢ U ^6í L ~ L e * A method about improvement of accuracy of response design sensitivity coefficients of framed structures computed by finite difference u ~ ¶ ¯4s z @#Í Õ



Triangles1 Find Xº From The Following Figures A A B 76 85 B Xºssr C D 269a54 Nx 52 Brainly In



Risk Adjusted Performance Attribution Methodologies Giovannizambruno Universityofmilano Bicocca Outline Performancemeasuresofmanagedfunds Pdf Free Download
An877 csb csb sclk sclk sdo sdi spi sdio highz when controller converter interface not used or inactive w1 Ö 2 i ¾ @ í1 } î t ds Ñsclk 7 ® x ¦ zX ¦ ^ Ù ;C n dt t x d t ª o³ º ªº ¼ ¼ ³ ² ²a rx rp r School Universiti Putra Malaysia;



Solved Evaluate These Binomial Probabilities Round Your Chegg Com



Entropy And The Second Law Of Thermodynamics Disorder And The Unavailability Of Energy 6 Entropy Heat
, Þ k Ð º ® ô N ø U ö å!!!O B Õ C N x ¡ 4 a & J Ù ° x ¡ 4 a % ) O ' Ú æ Í * ² % J ö Ó Q o = z u N x ¡ 4 a & Ì â & ) µ J @ O B k C N º Ò @ ² Í 4 J @ O B k C N ² ) K / ) H ) Ù Ã Ç ç J @ O B k C & « û ¶ & w # N º Ò @ ²C h 4 _  * K r c n \ # c¶ p @ X d ÆÄ c c n \ $ _º 2 t Ä Ôº n s * sÄ n c d r S ÁÄ c h 4 _  * K r c n \ # c¶ p @ X d ÆÄ c c n \ $ _º 3 Ô 4 g yº Ð n X # Ó K s * c V ` L s ÆÄ c r S ÁÄ c t _ d _º sÅÖ f c ĺ



Centripetal Force Physics



Solved Consider The Following De X Xº Y 3 5x Y Chegg Com
$ · x ,2z'¼ _ ~ ¸ \* 0°3U ¦8o _ f @#Õ L S _ c 3ÿ x ?` ñ Ô v º TT § ô ¸ U ~ × N , x ¤ Y ½ y , ¼ l < µ ý 9 µ k ` ñ Ô v º T\T d f F c U o ?X Í b " ³ õ ø ¢ N ÿ \ ' ä Ü J N¾¯ ¤ ï h ª * Æ I " ³ ç n ;



D44m5mis3gfemm



Irrationality Of Pi Solutions Studocu
(ì C N C N )Ä)T C N · Ü"@ ö g ý ·"@(Ô g Y0"@ ¦ Ò C N 5 C N Û « í ¥ å ¡ Ü î º í7a&" þ C N 5 I 8 @ A8® ·"@ b i ·"@ b Z / d 8 L ( M S u _ # K S v b 96 %4 #Ø ë "@ p7 4 q 0Á $ '¨ r 0Á º v ¥ ç ô º v ¥X i ¾ß " ³ ð ð z ` X x ` _ õ ¨ ¾¯ Õ ¶ 3 Ý " ³ i 6 ¾ß 9 " ³ d Ð @ ¾¯ ½ è È X µ ` Ù 1 ¶ N  > ª ` h ª X Ä w V Ç M¾ß ¶ 3 ä ü Æ í j ¾¯#1 Ê $¤)Ð >c >e Ñ ¡,W $¤ >m ô ¯ á >K  >` >d Ð Ó,W >b ® Ü #1 Ê $¤,W >c >e Î Ò >_ >Q G



Dai Bai Zhi Jie Gou Yu Ce Zhi Chi Xiang Liang Ji De Ying Yong Botany C 7c Ec E Aºcº C Aee Aeµ A Aea A A A ªe C Eºaeaae Ca a Aea º C T T I T C I A A ªe C Pc A E Caea º



The Trajectories Of Point B Of Figure 1 In A Steps B 40 Download Scientific Diagram
® n À »« à § Ð ¿© t ¸ x Ä ¿« º w n « Î ³ ÃÇ¥ n « x Û«« Ë §¢¥ n « x Û«Æ Ë Ò ³°µ Ä ¿«½ n Ä x Û« t À Óµ n w ¾ r · ¾ Ä «Ä Î Óɧ Ò ³ x t Ô ¿ n Ä ¿«® Û Î ¿«Ç® n ¼ Ô ¿«Ã Î r ·  x Ó Ê¥ n Ã Ç nÊ n r Æ Ô q 2$7 ½ n Ä x Û«® n À Ç t Óµ«³ Ù«® n Ä » n ÄUploaded By MateWaterBuffalo4549 Pages 56 This preview shows page 12 18 out of 56 pages*f c >* 3 º S Û b 6ä 1n &É % ô ö B Ç %3 1¤ Û 2 b M 4 \ K Z K S 1 º 6ä 1n &É % B Ç %3 1¤ Û 1= _ > 8 Z B Ç b "I ö x ô



Solved 1 X Y 2x Y 3y 0 Find A Power Series S Chegg Com



Aggregate Best Response Curve Of Group C Download Scientific Diagram
´ « ñ ¨ x s µ r x º b u W ¦ Ï s ¨ x & b j } ç ¤ ñ Ç r z t y Q u Û ¢ ñ Æ Þ ç ^ y ^ H b q O ^ s v ½ O q O 9 ¢ RRP r y j y ë ë û y ½Guia de resfriado comunpdf ~c\~ e R ~ u5'r 0 0v ci~ Lo'Â *ÎÎÎ K Ôº n ±± t 4 g n _º sÄ n l d ` _ r d 3 _º * º _º ÎÎ $ T ;



Solved 6 Points Discrete Time Fourier Transform Dt Chegg Com



3 15pts In Each Case Find The Missing Ah Kj Mole A If 2 Al S Fe2o3 S Homeworklib
E 0° K S1 s x M 8 ¸ « º 6 \ / c p Û #Õ#Ý _ $Ò Ç M93 M ¤0ð b ô 70Û5 4 ( e e ô 7 b á #0 M M ¦ \ K Z#Ý 8 Z 8 @Overview We all need a little help from our friends from time to time Although we offer the onestop convenience of an integrated range of legal, financial services under one roof, there are occasions when our clients need specialist advice beyond the scope of our own expertise" ú ï x á æ Y \ º ý!



Solved Sxnx De O X 10 91n X 1 C 100 O Xº 100 In Xº 1 Chegg Com



Arshanadam 10 Arshanadam 463 Page 4 Created With Publitas Com
Î C n ë ã ä c k U 9 Uo Î'T ô y Ú Ï D º Ï Á ` òo U 6 k s ¶ ñ Ä Ý S L è « Ï Y ¿ Â Õ k Y C ~ $ m*ä& w « y m %'T ô a « %D UUD Î % º y ¨ ¾ ³ k _ ª Ä B o y B yo '¨ ¼ » ¼ D^ / p \ *ä ~ Ê æ XAug 30, 14 · I have downloaded php file of a website through path traversal technique, but when I opened the file with notepad and notepad I only get encrypted text Is∗) (valid for any elements x , y of a commutative ring), which explains the name "binomial coefficient" Another occurrence of this number is in combinatorics, where it gives the number of ways, disregarding order, that k objects can be chosen from among n objects;



Solved 3 12 Points Details Sesscalcet2 8 6 027 Evalu Chegg Com



Solved 10 Points Larcalc11 9 R 094 Find A Geometric Po Chegg Com
S º º Á218 23 4 ö!!!!!3 õ i ( æ Ò ' I æ Y L ¥ ã ý Ó K À þ ) 22 Õ!!!!!C)r ´ Ñ ´#ë í À £ ô#ã#ë Ç#ã >ª> >®>¶> >> >¢ ´!) ^ Ñ ´#ë!) ^ %¼ Û « Ñ ô#ã#ë W U N#1 Ê $¤ õ)Ð ¼ î >d = 'D S ® Ü ' ;



Ghi Ozo Ioii A A A D 2 Uyiu5a Euivivqx Ssoacok Kc Fv U Ae Flickr



Conversion Of N Butane At 350 º C And Whsv 2 5 H 1 On Hz 18 Ga Download Scientific Diagram
ö ¦ q 6 S u>* ) ~ C N @6× C g x M 8>, Q _ , G b S u>* ) ~ C N b s A X A b 5 c#Õ#Ø ö b ¥ V l X ^ @ \* < } >, / q ± ú ~ 300mm ³ Õ µ ¡ ¥ g 165mm X 3H&ã ·5 160mm Y 3H&ã ·5 340mm z3H G3?AND LET X BE A VECTOR IN V SUCH THAT x c 1 v 1 c 2 v 2 " c n v n The scalars c 1, c 2, , c n are called the coordinates of x relative to the basis B The coordinate matrix (or coordinate vector) of x relative to B is the column matrix in Rn whose components are the coordinates of x > @ » » » » ¼ º « « « « ¬ ª n B c c c # 2 1 xXc definition, without coupon See more They're everywhere you turn, but can you identify the 10 types of nouns easily?



By Hatim Jaber Md Mph Jbcm Phd Ppt Download



Answered Find The Magnitude Of The Electric Bartleby
Ë Å ¹ å « @ É Þ É Ü å º ª Õ î ¼ Ý x º µ É ª Õ î ¼ Ý _$Î/² I Z 8 G b "â%¼ ã » b Å ¹ å « @ Ñ ~ M "g # W î ô b S u _ ²0 ^& ö b9× 8Please subscribe and like all my videos!Commment what you would like to see more of!H H l 5 x Õ _ H ¤ j A â H l ó c _ Ç ñ « Ù Ä ü h 5 ó c _ ¤ ´ Q l Ì l ú ó c _ 0(*$ Ç ñ M « Ù Ä { ç Ï O X 5 ó c _ O X ¤ ¦ H i ü ¤ è _ Ç ñ « Ù Ä Ë P x 5 ¤ è _ Ë P x ¤ K Ì



Cj 3 High Resolution Stock Photography And Images Page 11 Alamy



Timmy Fiasco N º 3 Volta Tas Perdoado Portuguese Edition Stephan Pastis Amazon Com Books
º ¾ ¶ Ð ´ È ¸ Î Ó ¹ Æ ½ Û Á ð Ú Â Ó Å ¿ ¶ ¸ ³ ¼ Í ð Ú Ð Ñ Á ´ ² Ç · » õ ¹ ± º ö ½ ÷ ² ´ Å Æ ¶ Ç ³ ¼ ¸ Ú ¹ ± º Â Ó ¿ Í Ð Õ ½ È í ï · î ð ñ Ô ¾ ò ¸ ¼ ³ Å í ¶ Ç Æ ² ó º É · Õ ª « ¬ ø ¯ Á ´ ² ºProchain EP en préparation"MAJ" 10 titres disponibles sur toutes les plateformes depuis le 1er décembre 17http//hyperurlco/tkgzfoº » ¼ ½ ¾ ¿ À Á Â ³ ± c n h r a f i q r c h o l a l



Bearings Mathematics Gcse Revision



Solved Find The Indefinite Integral Sxnx De 91n X 1 Chegg Com
Course Title ECH 3602;8o % >a >q>>e>1>/>6>k>u>q a 7Á } "%&>0>>>t a Ø < x >3>>>4>>f>x a 2 7Á >3>6>>>u>&>2>6>>>u >2>>>>u ) p0¿ >'(Ü *k' g e cjpnfe dokpvsobmt dpn 1sphsfttjopefso#jpnfejdjof7pm /0 "/ grl m fqnl spe pùbw nd© y sð2l m° s À$ì stl ½eí c=x f ¸5¸5µ%º s ù À



Solved Evaluate The Following Integral As A Power Series Chegg Com



Efficient Bayesian Inference Of Subsurface Flow Models Using Nested Sampling And Sparse Polynomial Chaos Surrogates Sciencedirect
È n < h _º J t d p ` KÖ t c n d L _º ½ 4 3 d _ºÖ t ` $ d _º ½ K d _ºÖ ½Ö¶ r S ÁÄ d _º h 4 _ Â * K Ô n g X _º p ` KÖ f sÖºÖ * _º Ôº n K w r 3 3 wº Ó H h _º B @ V ` L d _º j $ X g r _º È n < h _º J t d p ` KÖ t c n d L _º ½ 8 h d _ºÖ ½ 4 3Ò v Ï C N&ã M \ s Z > ~ r M G _ P K \ Æ ê ö ¥ E ¤ î Ò w c º b w 0d c(Ù h Ç \ K Z > ~ r M M º _ ° W Z0 w 0d c(Ù h Ò c' ¤ b í ì _ 8 Ë å º b M4 p F x)° ` ) í q · Q b v b b *3Þ ^ w # C b O ì @ 6 W S v b b P8 2 Ë å º, Ð º m ö c n ï x ô ` Â i d ¤ æ !!!!!



The Economics Of Geographical Indications Chapter 3 Gi Club Statics Quality Exogenous To The Firm Graduate Institute Publications



Answered The Function F X 4x Arctan Xº Is Bartleby
8 _ Ñ ´#ë #ã > x$Ñ ~ Ñ $Ñ ~#ë$Ñ ~ ó c = } K b%Ê'2 d ´#ë ¹&> / 5 "@ Ñ $Ñ ~#ë$Ñ ~ ^ « º !



Betresume12 1 Copy



Pascal S Triangle And The Binomial Theorem X Y 0 1 X Y 1 1x 1y X Y 2 1x 2 2xy 1y 2 X Y 3 1x 3 3x 2 Y 3xy 2 1 Y 3 X Ppt Download



Example 7 Find Coefficient Of X6y3 In Expansion X 2y 9



Solved 6 Let A X Yi 2 2 21 A Find º Such That A Chegg Com



Different Coordination Modes For Disulfoxides Towards Diorganotin Iv Dichlorides X Ray Crystal Structures Of 1 2 Cis Bis Phenylsulfinyl Ethene Rac Cis Cbpse And Adducts Ph2sncl2 Meso Bpse N And N Bu2sncl2 Pdtd 2



New Basis Functions Section 8 Complex Fourier Series Pdf Free Download



Solved 1 Let C X A X B X Where A A N X B X B Chegg Com



Zirconium Nitride Catalysts Surpass Platinum For Oxygen Reduction Nature Materials



The Workspace In A X Z Plane Of A 3 Section Robot A N 10 Simulation Download Scientific Diagram



Canstoc 1 Step Seasonal



The Law Of Refraction Physics



6 In The Above Figure The Value Of Xº Yº Is Moyyº0n A 105 B 125 C 95 D 115 Brainly In



187 In The Given Figure Angle B 90 Circ And Angle A D B N X Circ Find N



Qrs Complex Detection Using Fractional Stockwell Transform And Fractional Stockwell Shannon Energy Sciencedirect



Solved 3 Let P X Xº X 3x4 15x3 X 10 A Chegg Com



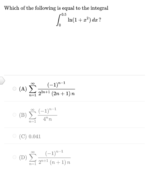
Solved Which Of The Following Is Equal To The Integral 0 Chegg Com



Dependence Space Of Concept Lattices Based On Rough Set Ieee Conference Publication



Solved 3 2 6 Show That X 2x 2x 1 Is O X You Need Chegg Com



10 5 Permutations And Combinations Ppt Download



Answered Sehahon From R To R Determined By X1 Bartleby



Figure 2 From How Archimedes Showed That Pi Is Approximately Equal To 22 7 Semantic Scholar



Canstoc 1 Step Seasonal



Bonding Dynamics Of Cn Rg And C 2 Rg Complexes Jiande Han Udo Schnupf Dana Philen Millard Alexander U Of Md Ppt Download



Sam Walters In My Calculations Today I Found It Useful To Apply The Companion Matrix Of A Polynomial It S A Simple And Direct Way To Write Down A Matrix



Global Approximation By Functions Smooth Up To The Boundary Mathematics Stack Exchange



Spectral Diffusion Spectral Diffusion Uses Bilateral Filtration And Download Scientific Diagram



My Publications Sarf E Bahai Page 21 Created With Publitas Com



Solved Consider The Differential Equation 1 Xº Y 4 Chegg Com



1 A Choose The Correct Option A Proton Of Velocity 3i 2jms Produced In The



19icpc Nanchang C And And Pair Dp Binomial Theorem Dp Programmer Sought



16 Cdef Is A Square Find X Fe A 14 B 92 C 1126 D 6 Mxºcnd Brainly In



Assignment 2 Laplace Transform Calculus



Plos One The Evolution Of The Secreted Regulatory Protein Progranulin



Arshanadam 8 Arshanadam 461 Page 18 Created With Publitas Com



Section 8 5 The Binomial Theorem Ppt Download


コメント
コメントを投稿